Project Figures¶
This page includes the figures you added from the project report/screenshots.
Fig. 1 - High-level architecture¶

Caption: High-level architecture of the StatSQLi framework.
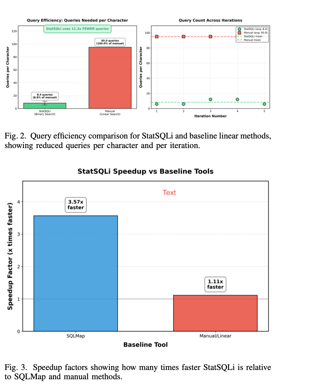
Fig. 2 and Fig. 3 - Query efficiency and speedup¶

Caption (Fig. 2): Query efficiency comparison for StatSQLi and baseline linear methods, showing reduced queries per character and per iteration.
Caption (Fig. 3): Speedup factors showing how many times faster StatSQLi is relative to SQLMap and manual methods.
Fig. 4 - Algorithmic complexity and speedup trend¶

Caption: Algorithmic comparison of binary vs linear search. Left panel shows query complexity, right panel shows speedup trend.